找回密码
 立即注册

QQ登录

只需一步,快速开始

搜索
0 0 0

暗能量:宇宙加速膨胀的黑暗推手

宇宙 400 0 2017-3-10 09:30:27
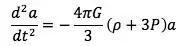
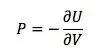
<p>  来源:赛先生公众号</p><p>  <strong>撰文:</strong>赵公博(中国科学院国家天文台)、张新民(中国科学院高能物理研究所)</p><p>  暗能量是什么?暗能量如何观测?宇宙加速膨胀背后的物理机制到底是什么?爱因斯坦错了吗?本文将从暗能量的发现谈起,深入介绍这个正在推动宇宙加速的神秘力量以及国内外暗能量研究的未来发展态势。</p><p>  1、宇宙正在加速膨胀</p><p>  北京时间2011年10月4日,瑞典皇家科学院将2011年诺贝尔物理学奖授予美国科学家Saul Perlmutter、美国-澳大利亚科学家Brian P。 Schmidt和美国科学家Adam G。 Riess,以表彰他们一项震惊世界的科学发现:宇宙正在加速膨胀!</p><p align="center"> wfxq.jpg <br>图1。 2011年诺贝尔物理学奖得主(图片来源:诺贝尔奖官方网站:www.nobelprize.org)</span></p><p>  在介绍加速膨胀之前,我们先简要地回顾膨胀宇宙的发现历史。1929年,美国天文学家哈勃(Edwin Hubble)在分析了与银河系近邻的24个星系的观测数据后,惊奇地发现大多数星系的光谱存在红移现象。类比于经典物理学中的多普勒现象,星系光谱的红移表明这些天体在逐渐远离我们(见图2A、2B)。哈勃还发现,天体退行速度与它们离我们的距离成正比,即。这就是著名的哈勃定律,其系数被称作哈勃常数。哈勃发现的是一种时空膨胀效应,这意味着整个宇宙处于膨胀状态之中。这个发现在当时震惊世界,甚至让很多人不安。千百年来,人们一直相信宇宙是静态的,这个信念却被哈勃的发现彻底粉碎。人们很希望宇宙的膨胀是在减速进行,这样宇宙的未来还有可能是静态的。</p><p>  这个美好的愿望与爱因斯坦相对论的预言不谋而合。根据爱因斯坦提出的广义相对论,时空的性质由所属的物质分布和性质所决定。由爱因斯坦场方程</p><p align="center"> kkwz.jpg <br></span></p><p>  我们可以清楚看到,宇宙的加速度,即宇宙标度因子对时间的二阶导数,与宇宙中总的能量密度与三倍的压强之和反号。传统理论认为宇宙中只有物质,因此总的压强为0,总的能量密度为正,则宇宙只能在引力的影响下减速膨胀。</p><p>  在实验观测上,要了解宇宙在过去不同时刻的膨胀率,进而确定宇宙的膨胀是加速还是减速,就需要测量更遥远天体的距离和红移的关系。天体的红移可以通过其光谱直接测量,但是测量天体与我们的距离却非常困难。天文学上常用的测距方法是通过测量天体的亮度(它们和天体的星等相联系)来推断距离。因此,在测距过程中要选取那些具有已知的绝对亮度的天体作为观测对象,这类天体被称作“标准烛光”。通过测量不同红移处标准烛光的亮度,并利用亮度与红移(或者星等与红移)的关系,我们就可以用它来确定宇宙膨胀率与时间的依赖关系(见图2C)。</p><p align="center"> jf4u.jpg <br>图2。 (A)星系光谱红移观测示意图;(B)哈勃在观测中;(C)利用标准烛光测距示意图;(D)超新星作为宇宙标准烛光的示意图;(E)利用超新星观测得到的距离-红移关系以及与不同宇宙学模型的对比(图片来源:A-C: https://www.cfa.harvard.edu/supernova/; D: NASA/JPL - Caltech/R。 Hurt; E: Bahcall et al。, 1999, Science,284, 1481)。</span></p><p>  宇宙中确实存在我们需要的标准烛光:Ia型超新星(SN)。此类超新星是双星系统中,白矮星吸积物质,或双白矮星并合引起爆发形成的。这类星体在爆发时非常明亮,在短短几周内,其亮度可以与整个星系相比拟,在很遥远的距离上都可以观测到。经过多年努力,由Perlmutter、Schmidt和Riess领导的两个独立的超新星研究小组在1998年几乎同时发现,宇宙深处的超新星比一个通常的以物质为主的宇宙所给出的要暗(见图2E)。这个观测证据表明,宇宙的膨胀正在加速!</p><p>  除超新星以外,重子声波振荡(BAO)是探测宇宙膨胀历史的另一枚重要探针。在宇宙早期,重子物质与光子紧密耦合,并在引力和光子压强两种相反的作用力下形成类似声波一样的振荡。随着宇宙膨胀,温度降低,这种声波振荡使得重子物质逐渐相互远离,直到宇宙大爆炸后约38万年的微波背景辐射(CMB)时期。从此光子与重子不再相互作用,声波振荡过程结束,星系之间的距离被“冻结”在一个特定的宇宙学尺度上,即BAO尺度(示意图见图3A)。BAO尺度大约为150兆秒差距(约4.9亿光年),具体数值依赖于宇宙学参数。观测上,我们可以通过测量不同尺度上星系对的数目(宇宙学上称为星系的两点关联函数)测量BAO尺度,进而测量宇宙学参数。由于利用BAO尺度直接受宇宙几何影响,而且BAO测距几乎不受系统误差影响,BAO被称为测量宇宙几何的标准尺(示意图见图3B)。目前国际上最大的BAO巡天实验为美国的斯隆数字巡天(SDSS)。其第三期的重子声波振荡光谱巡天(BOSS)通过测量一百万条星系光谱,首次在有效红移0.57处把BAO距离测量精度提高到1%的水平(Alam et al。, 2016, arXiv:1607.03155),并成功在多个宇宙学红移测得高精度的BAO信号,为宇宙学研究提供重要观测支持(Zhao et al。, 2016, MNRAS, 466,762)。BAO的观测独立地表明,宇宙确实正在加速膨胀!</p><p align="center"> u0ri.jpg <br> 图3。 (A)BAO效果图;(B)BAO作为宇宙标准尺示意图;(C)结合超新星(SN,蓝色),重子声波振荡(BAO,绿色)和微波背景辐射(CMB,橙色)数据得到的宇宙组分结果。(图片来源:A:www.sdss.org;B: NASA/JPL -Caltech/R。 Hurt;C: supernova.lbl.gov)</span></p><p>  宇宙标准烛光、宇宙标准尺以及CMB在限制宇宙学参数方面高度互补。图3C显示,结合SN、BAO和CMB的观测数据,目前宇宙中约70%的能量是由一种称为暗能量的未知能量组分提供,约25%的能量由一种称为暗物质的未知物质形式提供,而我们熟悉的普通物质只占总能量的5%左右。</p><p>  2、暗能量是什么</p><p>  由前文谈到的爱因斯坦场方程</p><p align="center"> vvzv.jpg <br></span></p><p>  我们可以看出宇宙膨胀加速,即宇宙标度因子对时间的二阶导数为正,宇宙中总的压强必为负值且需满足,即今天的宇宙是由一种具有很强负压的物质所主导(重子物质和暗物质压强为0)。这种神秘的负压物质就是暗能量。我们目前对暗能量的本质知之甚少,只了解它具有负压强,且近乎光滑,即不结团。暗能量的更多性质由其压强与能量密度的比值,即状态方程参数来描述。</p><p>  那么,什么是负压物质呢?以流体举例,热力学中流体压强的定义是(在系统熵保持不变的条件下)其内能随体积变化率的负值,即</p><p align="center"> ws9t.jpg <br></span></p><p>  比如,当密闭容器中的气体被活塞挤压,气体内能增加,体积减小,因此其压强为正。若使其压强为负,则需要流体的体积与其内能变化趋势相同,即内能和体积同时增加或者同时减小。这似乎与直觉相悖,因此很难以想象。实际上,真空即是一种奇怪的负压物质,因为其能量密度恒常不变,当真空体积增加,其内能也随之增加。因此,真空能是暗能量的候选者之一。</p><p>  真空能实际上是爱因斯坦在100年前,为了得到静态宇宙而引进的宇宙学常数</p><p>  (爱因斯坦在1917年2月8日发表的一篇著名论文中引入了宇宙学常数)。但1929年哈勃发现宇宙膨胀之后,爱因斯坦曾懊悔地表示,引入宇宙学常数是他一生在科学上所犯的最大错误。事实上,反引力的宇宙学常数不仅不能使宇宙静止,反而会导致宇宙加速膨胀。如果爱因斯坦能够得知1998年的天文观测结果,他应该倍感欣慰!</p><p>  真空能的状态方程恒等于-1。真空能作为暗能量模型尽管没有被目前的观测排除,但是它却存在着严重的理论问题。比如,</p><p>  1) 利用量子场论计算得出的真空能量密度比实际观测值大了约120个数量级;</p><p>  2) 真空能量密度与物质密度的时间演化形式完全不同,为什么恰巧在今天它们的数值刚好在同一数量级?</p><p>  这些通常被称为“精细调节困难”“巧合性问题”的理论问题让科学家们不得不考虑其他暗能量候选者:动力学暗能量。</p><p>  动力学暗能量是随时间变化的动力学场的能量。这类模型可以解决或缓解真空能作为暗能量的巧合性问题。在过去的二十年间,人们提出了很多动力学暗能量模型,并给它们取了颇具神秘色彩的名字,比如“精质”(Quintessence;模型具有的特性)、“幽灵”(Phantom;)、“精灵”(Quintom;模型预言在宇宙演化的过程中能穿越)、全息暗能量模型等。</p><p>  一般来说,动力学暗能量不同于宇宙学常数,会带来一系列有趣的物理现象。例如,暗能量场与电磁场的相互作用将会导致精细结构常数的改变;暗能量场有可能使中微子质量在宇宙演化过程中发生改变;动力学暗能量场有可能导致宇宙学CPT(电荷-宇称-时间反演)对称性的破坏等。</p><p>  暗能量的本质决定着宇宙的命运。如果加速膨胀是由真空能引起的,那么宇宙将永远延续这种加速膨胀的状态。宇宙中的物质和能量将变得越来越稀薄,星系之间互相远离的速度将变得非常快,新的结构不可能再形成。如果导致当今宇宙加速膨胀的暗能量是动力学的,那么宇宙的未来将由暗能量场的动力学决定,有可能会永远加速膨胀下去,也有可能重新进入减速膨胀的状态,甚至可能收缩,特别是在精灵暗能量框架下,宇宙将有可能是循环的,即膨胀-收缩-再膨胀-再收缩,……,循环往复。</p><p>  从天文观测数据中提取随红移(即时间)的演化历史,对于探索暗能量的本质至关重要,因此,这也是国内外许多正在运行(SDSS巡天)和计划中的大型巡天计划(DESI、Euclid、LSST等)的首要科学目标之一。需要指出的是,不是直接可观测量。粗略来说,与BAO或者超新星观测量对红移的二阶导数相对应,而CMB则对应从今天(即z=0)到宇宙早期(即z=1100)的时间积分。由于观测量存在统计误差和系统误差,结合不同类型的观测数据准确重建函数是有很挑战性的科学任务。这需要结合数据处理、主成分分析等统计方法实现。图4是本文作者与国际合作者分别利用2012年天文数据、2016年最新观测数据,并基于我国12米巡天望远镜LOT模拟,得到的重建结果。如图所示,动力学暗能量模型被目前观测数据支持:2012年和2016年数据分别在和置信水平上支持穿越 -1的动力学行为。基于目前数据得到的最佳拟合和模拟结果,LOT数据(结合SN和BAO)将有可能在置信水平上发现暗能量动力学。</p><p align="center"> h5eu.jpg <br>图4。 暗能量状态方程的演化历史重建结果(Zhao et al, BOSS collaboration, 2017, arXiv: 1701.08165; Zhao et al, 2012, PRL 109, 171301)</span></p><p>  3、爱因斯坦错了吗?</p><p align="center"> xx4g.jpg <br>图5。 广义相对论预言的时空弯曲示意图(图片来源:NASA)</span></p><p>  爱因斯坦建立的广义相对论是迄今为止最成功的引力理论。其正确性从实验室尺度到太阳系尺度都得到了高精度的验证。然而,在宇宙学尺度上,广义相对论的正确性还只是假设。目前的实验观测精度还不足以在如此大的时空尺度上证实或者证伪广义相对论。因此,宇宙时空的加速膨胀现象原则上有可能通过修正或者推广广义相对论实现。</p><p>  实际上,这并不是科学家第一次感到引力理论有修正的必要。20世纪初,爱因斯坦意识到牛顿引力论(即绝对时空观)既不适用于接近光速运动的物体,也不能准确描述强引力场中的物体。因此,他大胆地使用相对时空观取代了绝对时空观,建立了狭义和广义相对论,为百年来的物理和天文学研究奠定了基石。爱因斯坦场方程的右边是表征物质的分布和运动的物理量,称为能量-动量张量,而方程左边则是时空曲率。此方程清楚表明,广义相对论认为物质的分布和运动决定了时空曲率,而时空曲率又反过来影响物质的运动和分布(示意图见图5)。如前文所述,由物质主导的宇宙无法使时空加速膨胀,因而引入具有负压的暗能量。这实际上是修正爱因斯坦方程右侧。而另一种解决方案则是直接修正时空曲率项,即修正爱因斯坦方程左侧,这就是修正引力论。</p><p>  原则上,修正引力与暗能量模型可以给出完全相同的宇宙背景膨胀历史(即0阶物理量),但是它们却预言了完全不同的宇宙结构形成历史(即1阶扰动量)。因此,利用星系大尺度结构巡天,我们可以通过观测宇宙的结构形成,来区分修正引力与暗能量这两种物理机制,并对修正引力模型进行观测限制。</p><p>  目前已建立的修正引力模型包括标量-张量理论、矢量-张量理论、带质量引力理论(massive gravity)等。数学形式上,这些理论都要比广义相对论复杂,因此要研究这些理论预言的宇宙结构形成往往需要借助大规模数值模拟。图6是本文作者之一利用超级计算机模拟得到的在爱因斯坦引力和修正引力(标量-张量理论中的一种)中宇宙的结构形成。如图所示,尽管这两个宇宙有着相同的膨胀历史,但结构形成不同。基于这种差异,我们可以利用大规模星系巡天观测星系成团性,进而区分不同的引力模型。</p><p align="center"> zlkk.jpg <br>图6。 爱因斯坦引力和f(R)修正引力理论的计算机模拟(图片来源:Zhao et al。, 2011, Phys。 Rev.D。 83, 044007)</span></p><p>  4、展望未来</p><p align="center"> se7m.jpg <br>图7。 未来5-10年内我国和国际上计划开展的大型暗能量实验项目</span></p><p>  “工欲善其事,必先利其器。”对于暗能量的研究来说,开展大规模的巡天实验是重中之重。未来5到10年内,我国和国际上将运行一批(国际上称为第四代)大型地面和空间暗能量项目,揭示宇宙加速膨胀背后的新物理(见图7)。这些项目将从宇宙小尺度(星系或者星系团尺度)到大尺度(星系成团尺度和宇宙背景演化尺度)全面检验暗能量动力学和广义相对论。它们将通过对宇宙标准烛光(超新星)和宇宙标准尺(BAO)的精确测量重建暗能量演化历史,并将通过红移畸变(RSD)、等效原理检验等手段精确检验广义相对论。</p><p>  “十三五”期间,我国将建造一架12米口径的光学望远镜(LOT)开展超新星和BAO巡天实验。项目建成后,LOT将是国际上最大规模的暗能量巡天望远镜。此外,位于我国西藏阿里地区的“阿里计划”CMB实验将在五年内建成,该实验不仅对暗能量研究具有重要意义,它还将搜寻宇宙原初的引力波信号,利用宇宙极早期的微波背景辐射检验广义相对论。</p><p>  未来5-10年是暗能量研究的黄金时代。相信在全世界科学家的共同努力下,揭开暗能量神秘面纱的时刻指日可待。</p><p>  作者简介</p><p>  <strong>赵公博:</strong>中国科学院国家天文台研究员,2007年获中国科学院高能物理研究所博士学位,2007-2012年先后在加拿大Simon Fraser大学和英国Portsmouth大学从事博士后研究,2012年入选国家青年千人计划,2016年获得英国皇家学会牛顿高级学者基金,研究领域为暗能量和引力的宇宙学检验以及宇宙大尺度结构巡天。</p><p>  <strong>张新民:</strong>中国科学院高能物理研究所研究员,1991年获美国洛杉矶加州大学博士学位;1997年入选中国科学院“百人计划”;1999年获基金委“杰出青年科学基金”资助;2004年当选“新世纪百千万人才工程国家级人选”;带领团队在2008年提出我国“上天、入地、到南极”的暗物质暗能量探测路线图,并在2014年提出我国阿里原初引力波探测计划。</p><br />

使用道具 举报

您需要登录后才可以回帖 立即登录
高级模式
返回