找回密码
 立即注册

QQ登录

只需一步,快速开始

搜索
0 0 0

宇宙神秘难解之题:中国科学家搞定了

宇宙 517 0 2017-2-23 08:51:20
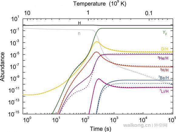
<p align="center"> tjou.jpg </p><p>  在过去的几十年里,宇宙大爆炸理论中的锂问题是一大难解之谜,因为科学家发现锂含量只有理论预言的三分之一。为什么最终锂含量与预测结果差了3倍多呢?为了解决这个问题,让我们来回顾一下宇宙大爆炸理论。</p><p>  大爆炸理论是迄今在科学界被广泛接受的关于宇宙起源的理论。宇宙大爆炸论有三大观测支持,分别是哈勃定律、宇宙微波背景辐射和原初元素丰度。</p><p>  宇宙微波背景辐射(CMB)</p><p>  宇宙微波背景辐射是支持大爆炸论的有力证据之一,经过了138亿年的膨胀,宇宙从极端高温逐渐冷却下来,留下了温度为2.7K的微波辐射,这就是宇宙大爆炸的热残余。</p><p>  但关于大爆炸宇宙论还有一些疑点。</p><p>  所有的元素都有一个天文事件起源,轻元素是在创世大爆炸之后10秒到20分钟内形成。最轻的固体元素锂来源却是让人匪夷所思,有25%的锂来自于大爆炸之后的太初核合成,但另外75%的来源未知。</p><p>  宇宙在不断膨胀和升温中迎来光子时代。原子核的形成是通过核合成,但宇宙中的极端环境不允许质子和电子结合成氢原子。在宇宙中,光子、电子以及原子核是混合在一起的,宇宙被这样的等离子体所充斥着。</p><p>  当宇宙温度高达10亿到100亿K时,较轻的原子核能够聚变为较重的原子核,这个过程被称为“大爆炸核合成”。宇宙中的大部分氦以及少量其他轻质核素,如氘和锂,都是在那个时候形成。</p><p>  至于元素周期表中较重的元素,它们都是由大爆炸之后几十亿年所形成的恒星制造出来的,并且通过超新星爆发播撒到星际空间的。</p><p>  我们对于大爆炸核合成的绝大部分过程的认识是极为准确的。事实上,对宇宙中氢和氦丰度(含量)的测量结果和理论预言的精确相符。</p><p>  然而,锂却出了点“问题”,锂的含量只有大爆炸核合成理论预言的三分之一。</p><p align="center"> j3bb.jpg </p><p>  目前为止,科学家还不能解释锂缺失原因,但是中国研究人员的一篇新文章或许能解决这个谜题。</p><p>  首先假设大爆炸核合成中所有的核都处于热力学平衡中,并且速度符合麦克斯韦-玻尔兹曼分布,但麦克斯韦玻尔兹曼分布律仅适用于理想气体,当运用于实际气体时,情况可能会有所不同。</p><p>  该文章作者应用所谓的非严格统计来解释锂缺失问题。在上图中,作者模型的虚线是用来预测低丰度铀同位素的。</p><p align="center"></p><p>  大爆炸论中,铍可能衰变成锂,所得到的锂量和其他更轻核元素都落在麦克斯韦-玻尔兹曼分布概率内。</p><p>  这意味着,目前科学家对宇宙中氢和氦丰度(含量)以及锂的测量结果和理论预言的大致相符,成为支持大爆炸理论的最强有力证据。</p><p>  如果论文作者观点正确,那么大爆炸论的真相很快就能大白于天下,我们关于宇宙探索又迈进一步!</p><p>  让我们一起抓住这个“尤里卡时刻”(原是古希腊语,意思是:“好啊!有办法啦)。<br />

使用道具 举报

您需要登录后才可以回帖 立即登录
高级模式
返回